1-4Àå :  Ç»¸®¿¡ º¯È¯

1. Ç»¸®¿¡ º¯È¯½Ä

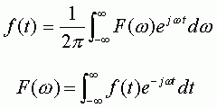
½Ã°£°ú Á֯ļö¿µ¿ªÀÇ ½ÅÈ£´Â Ç»¸®¿¡ º¯È¯(Fourier transform)À» ÅëÇÏ¿© ¼­·Î°£ÀÇ domainÀ¸·Î º¯È¯ÀÌ °¡´ÉÇÏ´Ù. À̰ÍÀº ÇϳªÀÇ ½ÅÈ£°¡ ¹«ÇÑÇÑ Á¤ÇöÆÄµéÀÇ ÇÕÀ¸·Î Ç¥ÇöÇÒ ¼ö ÀÖ´Ù´Â Ç»¸®¿¡ Á¤¸®¸¦ ±âº»À¸·Î ÇÏ¿© ÀÌ·ç¾îÁø´Ù. ½Ã°£À» º¯¼ö·Î ÇÏ´Â f(t)¿Í Á֯ļö¸¦ º¯¼ö·Î ÇÏ´Â F(¥ø)´Â ´ÙÀ½°ú °°Àº ½ÄÀ» ÅëÇØ ¼­·Î º¯È¯ÀÌ °¡´ÉÇÏ´Ù.

 

 

2. Ç»¸®¿¡ º¯È¯ÀÇ Á¾·ù

ÀϹÝÀûÀ¸·Î ÄÄÇ»Å͸¦ ÀÌ¿ëÇÏ¿© °è»êµÇ´Â Ç»¸®¿¡ º¯È¯ ¹æ¹ýÀº ¾Æ·¡¿Í °°´Ù.

- DFT (Discrete Fourier Transform)

¿¬¼ÓÀûÀÎ ½ÅÈ£¸¦ ½Ã°£¿¡ µû¶ó samplingÀ» ÇÑ ÇüÅÂÀÇ ½ÅÈ£·Î »ý°¢ÇÏ¿© Ç»¸®¿¡ º¯È¯½ÄÀ» ±×´ë·Î °è»êÇÑ´Ù.

- FFT (Fast Fourier Transform)

DFT°¡ °è»ê½Ã°£ÀÌ ³Ê¹« ¿À·¡ °É¸®±â ¶§¹®¿¡ °í¾ÈµÈ ¹æ¹ýÀ¸·Î¼­, samplingµÈ Àüü ½ÅÈ£¸¦ ÀüºÎ º¯È¯ÇÏ´Â °ÍÀÌ ¾Æ´Ï¶ó ÀûÀýÇÑ ¾Ë°í¸®Áò¿¡ ÀÇÇØ °è»ê¿¡ ÇÊ¿äÇÑ ½ÅÈ£¸¦ ÃÖ¼ÒÈ­ÇÏ¿© °í¼ÓÀ¸·Î Ç»¸®¿¡ º¯È¯À» °è»êÇÑ´Ù. º¯È¯½Ã°£ÀÇ ¹®Á¦·Î ÀÎÇØ ½ÇÁ¦ÀûÀ¸·Î´Â °ÅÀÇ ´ëºÎºÐ FFT¸¦ »ç¿ëÇÏ°Ô µÈ´Ù.

SW ½ÇÇàÈ­¸é º¸±â

  << Back

 Copyright by RF designhouse. All rights reserved.